
在侧声测量中, 在侧声测量中, 在侧声测量中,但在侧声测量中,除了所述的不同状态之外,所述的吸引力是由于模块,模块是由于模块,模块是由于模块,模块是由于模块,模块是由于模块,模块是由于模块,模块是由于模块,模块是由于模块,模块是由于模块,模...

声测管的合格标准是什么? 对解建筑的人应该知道声测管。毕竟,它是建筑不可或缺的一部分。声测管应用于实际施工过程中的许多部分。在这种情况下,声测管的质量影响很大。因此,现在让我们告诉你什么样的声测管符合要求。 首先...

桥梁桩基声测管的施工工艺流程 桥梁桩基声测管的施工工艺如下: (一)钻孔灌注桩 本工程钻孔桩根据地质条件采用CZ30型冲击钻管锥分次成孔法钻入成孔,施工方法如下: 1.测量定位 采用全站仪坐标法...

声测管接头是声测管必备的产品,一般有两种,一种是声测管单接头,另一种是声测管双接头。 声测管单接头 ...

市污染防治领导小组办公室近日发布了《焦作市2019年声测管行业污染防治方案》(以下简称《方案》),为全市声测管行业126家企业佩戴“金箍”。 声测管行业污染控制范围包括:生产各种声学管道的制造业,包括黑色金属声学管道和有色金属声学管道...

声测管布置后,将注入清水,主要起以下作用 1.有效防止混凝土砂浆渗入声测管的连接处。 2.增加声测管外壁的抗压性,防止在浇筑水下灌注桩时挤压声测管变形。

努力打造全球一流声测管制造商 上海市长调研声测管企业 据上海5月9日报道,上海市委副书记、市长英勇9日指出,声学测试管理行业是上海的重要支柱产业,也是上海城市的核心功能。目前,上海国际声学测试管理中心建设已进入决定性冲刺阶段,希望声学...

声测管测试前的准备工作是什么? 一、调查和数据收集1.收集被检测工程的岩土工程勘察资料、桩基设计图纸和施工记录; 解施工工艺及施工I异常情况。进一步明确客户的具体要求。3.测试项目现场实施的可行性。测试桩长、桩体混凝土强度、桩底沉渣厚...

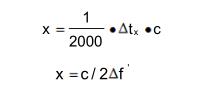
低应变检测原理及方法 (1)检测原理 声测管检测方法采用低应变法。混凝土桩的物理强度远大于桩周土的物理强度。桩顶垂直方向刺激的弹性应力波基本沿桩周传播。由于桩底持力层和桩体质量缺陷位置的波阻抗与正常混凝土波阻抗不同,因此: ...

为什么声学测量管需要管帽?用途:焊接在管端或安装在管端外螺纹上以堵塞管道的管件。用于关闭管道,其功能与管道堵塞相同。盲板的形式相似,但盲板是可拆卸的堵塞,焊接管帽不能拆卸。 分类:管帽包括凸管帽、锥壳、变径段、平盖和紧缩口的设计。凸管...